Refinanciación de planes de facilidades vigentes

En el marco de este régimen se pueden refinanciar los planes de facilidades de pago para gozar del beneficio de condonación de intereses y multas que establece la norma.

Requisitos para la refinanciación

  • Planes presentados presentados hasta el 2º de febrero de 2026, inclusive.
  • Deben encontrarse vigentes.
  • Deben haber sido formalizados a través del servicio “Mis Facilidades”.
  • Todas las obligaciones incluidas en los planes deben ser susceptibles de regularización en el marco de este régimen.
  • Plazo para refinanciar: hasta el 17 de septiembre de 2026, inclusive.

Pautas para la refinanciación

  • La refinanciación se hace por cada plan, a través del servicio “Mis Facilidades”, opción “Refinanciación de planes vigentes”.
  • Se puede optar por cancelar por pago de contado o a través de planes de facilidades.
  • Para determinar el monto total a refinanciar, el sistema considera todos los pagos efectuados hasta el último día del mes anterior a la solicitud de refinanciación. Sobre el saldo impago de intereses resarcitorios y/o punitorios:
    • Se condona el 100% si la refinanciación se hace hasta el 16 de junio de 2026, inclusive.
    • Se condona el 50% si la refinanciación se hace hasta el 17 de septiembre de 2026, inclusive.
  • Debe solicitarse la suspensión de los débitos que estuvieran programados para el mes en que se concrete la refinanciación del plan, o la reversión de los débitos efectuados, dentro de los 30 días corridos de realizados.
  • Si se opta por refinanciación a través de planes de facilidades, las condiciones sobre cantidad máxima de cuotas y tasa de interés de financiación, son las previstas para la modalidad de adhesión por planes de facilidades de pago.
  • El importe mínimo de cada cuota es de $ 50.000 (excepto cuando el total consolidado no supera ese valor).
  • Las cuotas vencen el 16 de cada mes a partir del mes inmediato siguiente a aquel en que se concrete la refinanciación de la deuda. Su ingreso se hace conforme lo previsto para los planes de facilidades de pago de este régimen.
  • Se debe cumplir con la presentación aún cuando la refinanciación no arroje saldo a cancelar (en este caso, se genera el formulario “F. 1242 – Refinanciación de planes sin saldo a cancelar”, como constancia de presentación).
  • Se mantiene la fecha de consolidación del plan original.
  • Efectuada la refinanciación, no se puede retrotraer a la situación del plan original. El plan queda identificado como “Refinanciado Ley Nº 27.793”.
  • Los planes de facilidades refinanciados pueden cancelarse anticipadamente conforme lo previsto para los planes de este régimen.
  • La falta de cancelación de las cuotas genera la caducidad del plan refinanciado cuando se configure alguna de las causales previstas para los planes de este régimen.

Cuotas

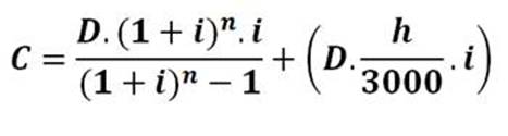
Las cuotas son mensuales, iguales y consecutivas, salvo la primera, y su monto se calcula aplicando la siguiente fórmula:

Determinación de la primera cuota

Determinación de la primera cuota

Referencias:

  • C = monto de la cuota que corresponde ingresar
  • D = monto total de la deuda consolidada
  • n = total de cuotas que comprenden el plan
  • i = tasa de interés mensual de financiamiento
  • h = cantidad de días entre el vencimiento de la cuota del mes anterior a la fecha de la refinanciación o la última cuota del plan, y el 16 del mes en que se realiza la refinanciación

Determinación de las demás cuotas

Determinación de las demás cuotas

Referencias:

  • C = monto de la cuota que corresponde ingresar
  • D = monto total de la deuda consolidada
  • n = total de cuotas que comprenden el plan
  • i = tasa de interés mensual de financiamiento